杂环化合物

杂环化合物是指环状化合物的环中含有一个或几个非碳原子 (杂原子,常见的为氧、硫、氮 原子)的化合物。在环系比较稳定的杂环化合物中,组成杂环的原子处于同一平面,碳原子为sp2 杂化,各以σ键相连,各有一个p轨道垂直于环平面。根据结构不同,杂环中参与形成共轭体系杂原子的p轨道可能有一对未共用电子,也可能只有一个电子。杂环大多满足4n+2的π电子数,具有一定的芳香性。由于杂原子的电负性与碳不同,因此,芳香杂环化合物的电子云密度平均化程度与苯不同,键长也没有完全平均化。杂环化合物在自然界中分布极广,存在于许多天然产物中,如维生素、生物碱、激素、抗生素等。

六元杂环化合物

吡啶

../../_images/ReactionOfHeterocycliccompounds01.png

碱性

吡啶的碱性比脂肪胺、氨均弱,但是比苯胺强。

../../_images/ReactionOfHeterocycliccompounds02.png

例如:

../../_images/ReactionOfHeterocycliccompounds03.png

这里应认出胺的类型,1为脂肪胺,4为芳香胺,2为吡啶氮,3为吡咯氮原子,吡咯的酸碱性将在后续分析。根据碱性强弱顺序:脂肪胺>氨>吡啶>芳香胺,碱性顺序依次为1>2>4,因此,此题的正确答案为B。因为吡啶显示碱性,所以在有机反应中常作为酸的吸收剂。

亲电取代反应

吡啶是缺“π”的放杂环,换上电子云密度比苯低,因此亲电取代反应的活性比苯低,与硝基苯相当。反应需在较强烈的条件下进行,且产率较低,取代基主要进入吡啶氮原子的β位。

../../_images/ReactionOfHeterocycliccompounds04.png

亲核取代反应

由于吡啶环上氮原子的吸电子效应,换上碳原子的电子云密度降低,尤其是在α位和γ位上的电子云密度更低,因而换上的亲核取代反应容易发生,取代反应主要发生在α位和γ位上,反应类似于芳环上的亲核取代反应,将吡啶类比成硝基苯,处于氮原子邻位和对位的卤素易被亲核取代。

  • 与NaNH2的反应:齐齐巴宾(Chichibabin)反应

    ../../_images/ReactionOfHeterocycliccompounds05.png
  • 与芳基锂或烷基锂等亲核取代的反应

    ../../_images/ReactionOfHeterocycliccompounds06.png
  • α位或γ位有好离去基团: 亲核取代容易

    ../../_images/ReactionOfHeterocycliccompounds07.png

氧化和还原

由于吡啶环上的电子云密度较低,故难以失去电子被氧化,通常情况下吡啶环对氧化剂比较稳定。当吡啶环上有烷基或是芳基侧链时,总是侧链优先被氧化。

../../_images/ReactionOfHeterocycliccompounds08.png

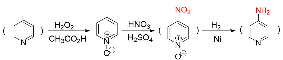
在特殊的氧化条件下,吡啶可发生类似叔胺的氧化反应生成N-氧化物。例如吡啶与过氧酸或过氧化氢作用时,可得到N-氧化吡啶。N-氧化吡啶再进行亲电取代反应时,硝基可上到吡啶环的对位,然后用三氯化磷或其他方法处理,N-氧化吡啶中的氧很容易被除去,又得到吡啶,可用此法在吡啶环的对位引入硝基。

../../_images/ReactionOfHeterocycliccompounds09.png

例如:完成下列反应

../../_images/ReactionOfHeterocycliccompounds10.png

反应条件位过氧化氢与醋酸,产物位N-氧化吡啶,所以第一个空应填原料吡啶;然后硝化,硝基应进入吡啶环的对位,后经过还原,将硝基还原为氨基的同时,N-氧化吡啶中的氧也被除去。

../../_images/ReactionOfHeterocycliccompounds11.png

吡啶环上的电子云密度较低,使还原比苯容易。

../../_images/ReactionOfHeterocycliccompounds12.png

喹啉和异喹啉

喹啉、异喹啉既有苯的性质又有吡啶的性质,也存在着2种体系的相互影响;亲电取代反应主要发生在苯环上,亲核反应主要发生在吡啶环上;苯环比吡啶环易氧化,吡啶环比苯环易还原。异喹啉具有同喹啉类似的性质。

亲核取代和亲电取代反应

../../_images/ReactionOfHeterocycliccompounds13.png

亲电取代反应的本质是哪个芳环上的电子云密度大,哪个环优先发生亲电取代。喹啉中苯环与吡啶环相比,苯环的电子云密度要大于吡啶环,因此亲电取代反应优先发生在苯环上。喹啉的化学性质也酮萘有类似的地方,萘发生亲电取代反应时,α-位的反应活性高于β位,因此对于喹啉而言,亲电取代反应,取代基主要进入5位和8位。

../../_images/ReactionOfHeterocycliccompounds14.png

亲核取代反应主要发生在电子云密度小的吡啶环上,喹啉主要发生在2位和4位,异喹啉主要发生在1位。

../../_images/ReactionOfHeterocycliccompounds15.png

例如:请完成下列反应

../../_images/ReactionOfHeterocycliccompounds16.png

第一个反应为喹啉的硝化,为亲电取代反应,优先发生在喹啉的5位和8位,所以产物是5-硝基喹啉和9-硝基喹啉。第二题考察的知识点位亲核取代,亲核取代优先发生在吡啶环上,在2位和4位,所以产物为4-乙氧基喹啉。

../../_images/ReactionOfHeterocycliccompounds17.png